Diagonalizing basis
It is useful to transform a system’s state vector \(\bm{x}\) into a special basis that diagonalizes—leaves nonzero components along only the diagonal—the system’s \(A\)-matrix. For systems with \(n\) distinct eigenvalues, to which we limit ourselves in this discussion,1 this is always possible. In diagonalized form, it will be relatively easy to solve for the state transition matrix \(\Phi\).
Changing basis in the state equation
As with all basis transformations, the basis transformation we seek can be written \[\begin{aligned} \bm{x} = P \bm{x}' \quad \Rightarrow \bm{x}' = P^{-1} \bm{x}, \end{aligned}\] where \(P\) is the transformation matrix, \(\bm{x}\) is a representation of the state vector in the original basis, and \(\bm{x}'\) is a representation of the state vector in the new basis.2
Substituting this transformation into the standard linear state-model equations yields the model $$\begin{align} \dot{\bm{x}}' &= \underbrace{P^{-1} A P}_{A'} \bm{x}' + \underbrace{P^{-1} B}_{B'} \bm{u} \\ \bm{y} &= \underbrace{C P}_{C'} \bm{x}' + \underbrace{D}_{D'} \bm{u}. \end{align}$$
Modal and eigenvalue matrices
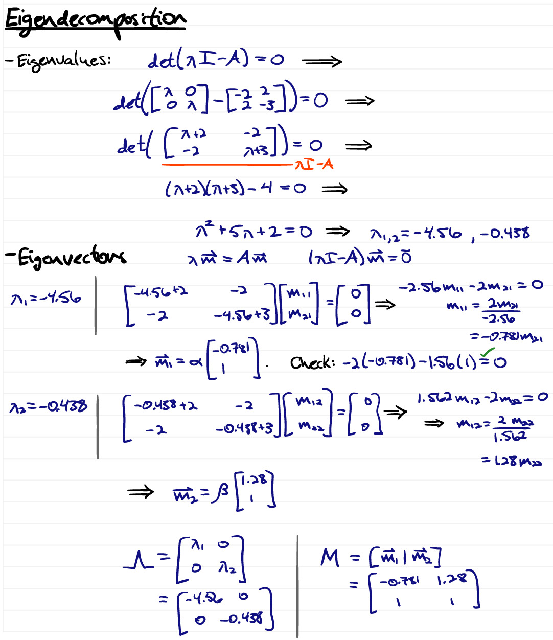
Let a state equation have matrix \(A\) with \(n\) distinct eigenvalues \((\lambda_i)\) and eigenvectors \((\bm{m}_i)\). Let the eigenvalue matrix \(\Lambda\) be defined as \[\begin{aligned} \Lambda = \begin{bmatrix} \lambda_1 & & & 0 \\ & \lambda_2 & & \\ & & \ddots & \\ 0 & & & \lambda_n \end{bmatrix}.\end{aligned}\]
Furthermore, let the modal matrix \(M\) be defined as \[\begin{aligned} M = \left[ \begin{array}{cccc} \rule[-1ex]{0.5pt}{2.5ex}& \rule[-1ex]{0.5pt}{2.5ex}& & \rule[-1ex]{0.5pt}{2.5ex}\\ \bm{m}_{1} & \bm{m}_{2} & \cdots & \bm{m}_{n} \\ \rule[-1ex]{0.5pt}{2.5ex}& \rule[-1ex]{0.5pt}{2.5ex}& & \rule[-1ex]{0.5pt}{2.5ex} \end{array} \right] \end{aligned}\]
Diagonalization of the state equation
Let the modal matrix \(M\) be the transformation matrix for our state-model. Then3 \(\bm{x}' = M^{-1} \bm{x}\).
The state equation becomes \[\begin{aligned} \dot{\bm{x}}' &= M^{-1} A M \bm{x}' + M^{-1} B \bm{u}. \end{aligned}\] The eigenproblem implies that \[\begin{aligned} A \begin{bmatrix} \bm{m}_1 & \bm{m}_2 & \cdots & \bm{m}_n \end{bmatrix} &= \begin{bmatrix} \bm{m}_1 & \bm{m}_2 & \cdots & \bm{m}_n \end{bmatrix} \Lambda \quad\Rightarrow \\ A M &= M \Lambda \quad\Rightarrow \\ M^{-1} A M &= M^{-1} M \Lambda \\ &= \Lambda.\end{aligned}\] That is, \(A' = \Lambda\)! Recall that \(\Lambda\) is diagonal; therefore, we have diagonalized the state-space model. In full-form, the diagonalized model is
$$\begin{align} \label{eq:ssresp_eq:diagonalized_state_space} \dot{\bm{x}}' &= \underbrace{\Lambda}_{A'} \bm{x}' + \underbrace{M^{-1} B}_{B'} \bm{u} \\ \bm{y} &= \underbrace{C M}_{C'} \bm{x}' + \underbrace{D}_{D'} \bm{u}. \end{align}$$
Computing the state transition matrix
Recall our definition of the state transition matrix \(\Phi(t) = e^{A t}\). Directly applying this to the diagonalized system of , $$\begin{align} \Phi'(t) &= e^{\Lambda t} \\ &= \begin{bmatrix} e^{\lambda_1 t} & & & 0 \\ & e^{\lambda_2 t} & & \\ & & \ddots & \\ 0 & & & e^{\lambda_n t} \end{bmatrix}. \end{align}$$ In this last equality, we have used the diagonal property of the state transition matrix, defined in .
Recall that the free response solution to the state equation is given by the initial condition and state transition matrix, so $$\begin{align} \bm{x}_\text{fr}'(t) &= \Phi'(t) \bm{x}'(0) \\ &= x_1'(0) e^{\lambda_1 t} + x_2'(0) e^{\lambda_2 t} + \cdots + x_n'(0) e^{\lambda_n t} \end{align}$$ where the initial conditions are \(\bm{x}'(0) = M^{-1} \bm{x}(0)\). We have completely decoupled each state’s free response, one of the remarkable qualities of the diagonalized system.
At this point, one could simply solve the diagonalized system for \(\bm{x}'(t)\), then convert the solution to the original basis with \(\bm{x}(t) = M \bm{x}'(t)\).
Sometimes, we might prefer to transform the diagonalized-basis state transition matrix into the original basis. The following is a derivation of that transformation.
Beginning with the free response solution in the diagonalized-basis and transforming the equation into the original basis, we find an expression for the original state transition matrix, as follows. \[\begin{aligned} \bm{x}_\text{fr}'(t) &= \Phi'(t) \bm{x}'(0) \quad\Rightarrow \\ M^{-1} \bm{x}_\text{fr}(t) &= \Phi'(t) M^{-1} \bm{x}(0) \quad\Rightarrow \\ \bm{x}_\text{fr}(t) &= \underbrace{M \Phi'(t) M^{-1}}_{\Phi(t)} \bm{x}(0).\end{aligned}\] This last expression is just the free response solution in the original basis, so we can identify \[\begin{aligned} \label{eq:ssresp_eq:state_transition_pref} \Phi(t) = M \Phi'(t) M^{-1}. \end{aligned}\] This is a powerful result. is the preferred method of deriving the state transition matrix for a given system. The eigenvalues give \(\Phi'\) and the eigenvectors give \(M\).
For the state equation $$\begin{align*} \dot{\bm{x}} = \begin{bmatrix} -2 & 2 \\ 2 & -3 \end{bmatrix} \bm{x} + \begin{bmatrix} 1 \\ -1 \end{bmatrix} \bm{u} \end{align*}$$ find the state’s free response to initial condition $\bm{x}(0) = \begin{bmatrix} 2 & -1 \end{bmatrix}^{\top}$.
See for general considerations.↩︎
We are being a bit fast-and-loose with terminology here: a vector is an object that does not change under basis transformation, only its components and basis vectors do. However, we use the common notational and terminological abuses.↩︎
As long as there are \(n\) distinct eigenvalues, \(M\) is invertible.↩︎
Online Resources for Section 6.10
No online resources.