Engineering Math

Linear algebraic eigenproblem

The linear algebraic eigenproblem can be simply stated. For \(n\times n\) real matrix \(A\), \(n\times 1\) complex vector \(\bm{m}\), and \(\lambda\in\mathbb{C}\), \(\bm{m}\) is defined as an eigenvector of \(A\) if and only if it is nonzero and \[\begin{aligned} \label{eq:ssresp_eq:eigenproblem} A \bm{m} = \lambda \bm{m} \end{aligned}\] for some \(\lambda\), which is called the corresponding eigenvalue. That is, \(\bm{m}\) is an eigenvector of \(A\) if its linear transformation by \(A\) is equivalent to its scaling; i.e. an eigenvector of \(A\) is a vector of which \(A\) changes the length, but not the direction.

Since a matrix can have several eigenvectors and corresponding eigenvalues, we typically index them with a subscript; e.g. \(\bm{m}_i\) pairs with \(\lambda_i\).

Solving for eigenvalues

can be rearranged: \[\begin{aligned} \label{eq:ssresp_eq:eigenproblem2} (\lambda I - A) \bm{m} = \bm{0}. \end{aligned}\] For a nontrivial solution for \(\bm{m}\), \[\begin{aligned} \det(\lambda I - A) = 0, \end{aligned}\] which has as its left-hand-side a polynomial in \(\lambda\) and is called the characteristic equation. We define eigenvalues to be the roots of the characteristic equation.

eigenvalues and roots of the characteristic equation

If \(A\) is taken to be the linear state-space representation \(A\), and the state-space model is converted to an input-output differential equation, the resulting ODE’s “characteristic equation” would be identical to this matrix characteristic equation. Therefore, everything we already understand about the roots of the “characteristic equation” of an i/o ODE—especially that they govern the transient response and stability of a system—holds for a system’s \(A\)-matrix eigenvalues.

Here we consider only the case of \(n\) distinct eigenvalues. For eigenvalues of (algebraic) multiplicity greater than one (i.e. repeated roots), see the discussion of .

Solving for eigenvectors

Each eigenvalue \(\lambda_i\) has a corresponding eigenvector \(\bm{m}_i\). Substituting each \(\lambda_i\) into , one can solve for a corresponding eigenvector. It’s important to note that an eigenvector is unique within a scaling factor. That is, if \(\bm{m}_i\) is an eigenvector corresponding to \(\lambda_i\), so is \(3\bm{m}_i\).1

Example 6.4

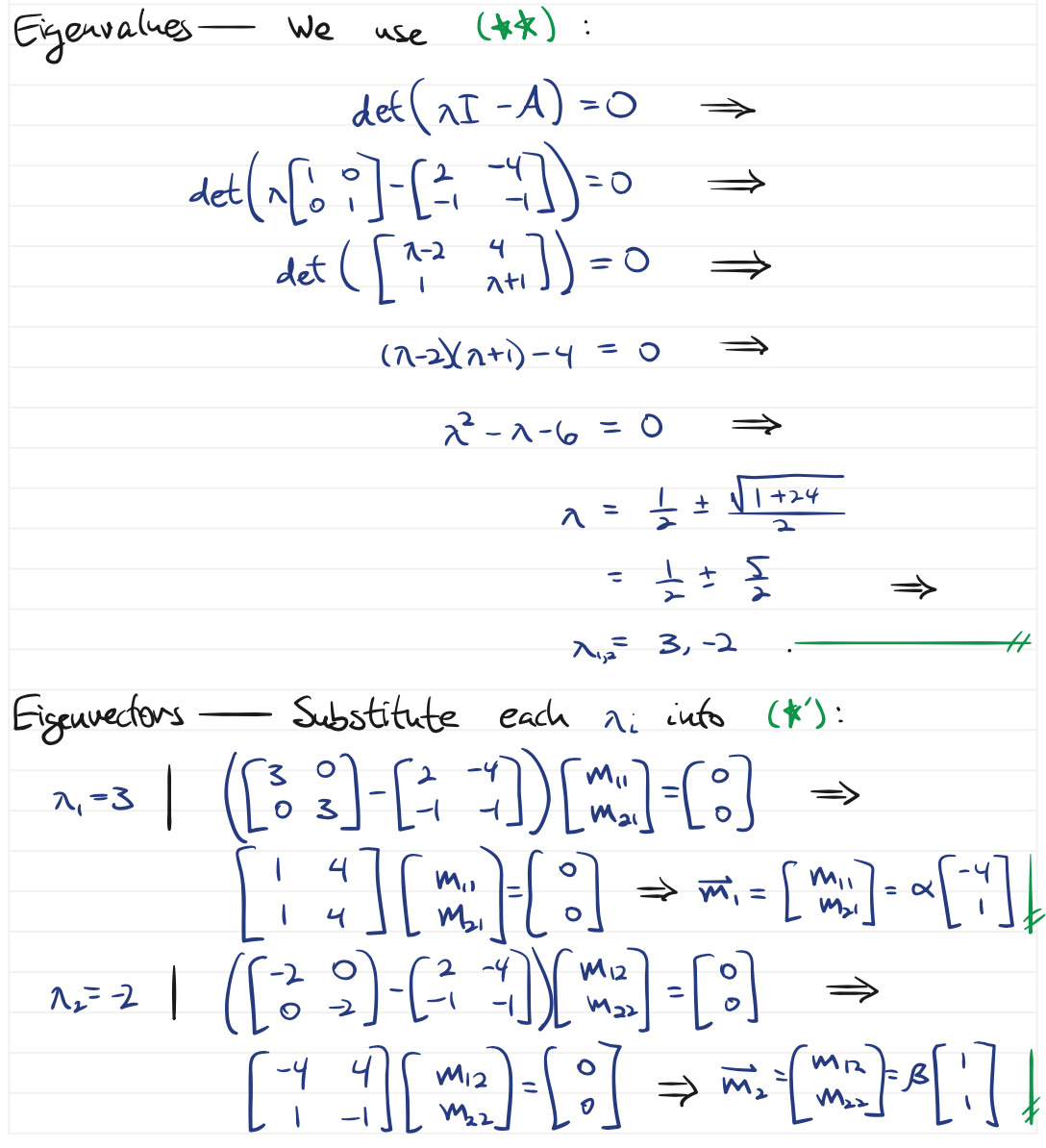
Let $$\begin{align*} A = \begin{bmatrix} 2 & -4 \\ -1 & -1 \end{bmatrix}. \end{align*}$$ Find the eigenvalues and eigenvectors of A.

Figure 6.3: Solution.

Several computational software packages can easily solve for eigenvalues and eigenvectors. See section 6.9 for instruction for doing so in Python.


  1. Also of note is that \(\lambda_i\) and \(\bm{m}_i\) can be complex.↩︎

Online Resources for Section 6.8

No online resources.